阻抗匹配层可以大幅提高声波在不同介质间的能量传输效率,在换能器设计、无损检测、医学超声成像中均具有十分重要的作用。当前常用的半波长阻抗匹配层以及多层复合阻抗匹配层等方法,均只能针对既定两种目标介质进行设计并工作,普适性较差。
近期,中科院噪声与振动重点实验室的杨军、贾晗团队与吉首大学邓科团队合作研究,通过在周期排列的压电陶瓷片上外接电容调控系统等效声学阻抗,设计出一种可调式梯度声学阻抗匹配层,可在不同介质界面处实现宽频高效的声波能量透射。
相关研究成果2020年8月在线发表于国际学术期刊 Journal of Applied Physics 。
研究人员首先推导了外接分流电路对压电陶瓷片纵向振动的调控方程,并给出周期条件下该系统的声波色散规律,进而得到长波近似下的系统等效声学阻抗与外接电容之间的关系。
在理论分析的基础上,研究人员利用八层压电陶瓷片构成了可调式阻抗匹配层(图1)。在实际运用中,在每层匹配层接上不同的电容就可以得到所需要的目标梯度阻抗。
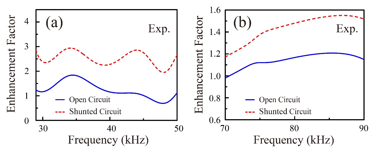
为了验证连接压电分流电路的可调式声学阻抗匹配层的性能,研究人员分别利用钢柱和有机玻璃柱、钢柱和铝柱构造了两种具有不同阻抗梯度的界面,并将所设计的可调式声学阻抗匹配层插入两个界面中测试效果。测试结果表明,对于两种阻抗差异的界面,只需要调节体系中外接电容的大小,所设计的可调式声学阻抗匹配层均可以大幅提升声波的能量透射率。
该种基于压电分流电路的可调式声学阻抗匹配层不仅具有较宽的工作频段,并且可以针对不同阻抗差异界面进行快速调节,使用十分方便。
本研究得到国家自然科学基金(No.11874387)等资助。

图1 基于压电分流电路的可调式声学阻抗匹配层(图/中科院yx06永兴彩票集团)

图2 可调式声学阻抗匹配层在插入钢/有机玻璃(左图)和钢/铝后的声能透射增强因子(右图)(图/中科院yx06永兴彩票集团)
关键词:
压电陶瓷;分流电路;阻抗匹配层
参考文献:
Wu Jien, YANG Yuzhen, JIA Han, XU Xiangyuan, YANG Jun, HE Zhaojian, DENG Ke. A tunable gradient impedance matching layer based on piezoelectric materials with external circuits. Journal of Applied Physics 2020, 128, 064502. DOI: 10.1063/5.0012536.
论文链接:
https://aip.scitation.org/doi/10.1063/5.0012536