次声波是频率在20Hz以下的声波,它频率低、传播衰减小,传播距离可达几百甚至上千公里。很多自然和人为事件都可以产生次声波,例如地震、海啸、火山爆发等自然灾害以及高铁运行、火箭发射等。根据探测到的次声波,人们可以对不同事件进行分析,获取事件发生的位置、性质等,是一种监测自然灾害等事件发生和发展的有效方法。但是,由于次声波受环境影响较大,对次声波源的定位及定性分析会出现较大的误差。为了减少这种误差,在次声信号分析时须考虑次声波传播的影响。
基于球坐标的三维哈密顿轨迹追踪方法,中科院噪声与振动重点实验室的滕鹏晓、吕君等人提出一种基于次声射线传播模型的次声源高度定位算法,建立了一个次声传播轨迹反演的理论模型,可以减小次声源的定位误差。相关研究成果2019年6月28日在线发表于国际学术期刊 The Journal of the Acoustical Society of America。
研究人员首先使用MSISE00模型和HWM93模型获取北京地区夏季和冬季不同高度处的有效声速,然后用传统的模型模拟位于北京的次声源发出的次声传播路径,用以校验反演模型,最后进行实验验证,理论定位得出的高度与真实值非常近似,从而证明了传播轨迹反演算法的可行性。
研究人员基于两项关键技术提出该模型:一是射线追踪数值模型的建立,二是基于HARPA(Hamiltonian Acoustic Ray-tracing Program for the Atmosphere)模型的传播轨迹反演算法。HARPA是一个全三维射线模型,通过接入大气风和温度的连续三点作为次声源,并将事件发生时风场模型中的风速矢量反向作为模型中的风场模型,从而反演得到次声源的高度。

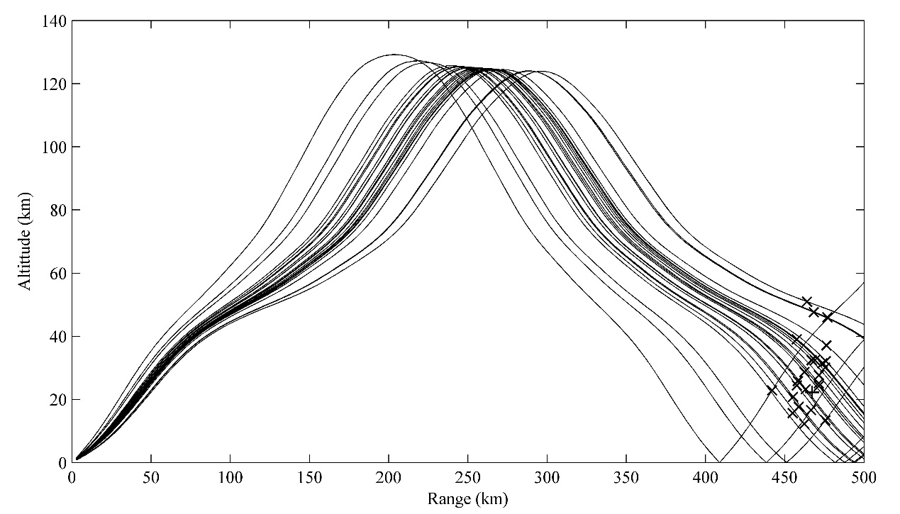
HARPA模型得出的次声源高度为0,频率为0.1Hz,时间为夏季的声线路径(图/中科院yx06永兴彩票集团)

传播轨迹反演算法得出的流星爆炸位置(图/中科院yx06永兴彩票集团)
研究人员利用该算法验证了2014年11月5日发生在内蒙古自治区锡林郭勒盟的流星事件,与美国NASA公布的结果相比,计算得到的流星爆炸高度相对误差为25.53% ,位置经纬度计算误差为0.25o。比传统定位算法计算误差小。
关键词:
射线追踪;次声源定位;传播轨迹反演
参考文献:
SHANG Chuxiang, TENG Pengxiao, LYU Jun, YANG Jun, SUN Hongling, Infrasonic source altitude localization based on an infrasound ray tracing propagation model, The Journal of the Acoustical Society of America 145, 3805 (2019). DOI: 10.1121/1.5110712
论文链接:
https://doi.org/10.1121/1.5110712