海面的风成浪作用过程产生噪声,研究噪声-风之间的定量关系,建立适用于不同环境的风关噪声模型预报噪声,对于海洋风关噪声预报以及噪声反演海面风速至关重要。
yx06永兴彩票集团声场声信息国家重点实验室博士研究生蒋东阁等人通过实验数据分析风关噪声特性,基于射线理论建立了噪声场模型,并得到实验验证。相关研究成果日前发表于学术期刊《中国科学物理学力学天文学》2017年第60卷第12期。
实验数据来源于持续43天的南海长期观测噪声,由潜标系统同时记录了实时的气象和水文数据。实验噪声数据和风速见图1。数据处理结果表明,当本地风速高于3 m/s时,在频带0.5-3.2 kHz内,噪声与风速近似两倍关系。据此,可获得风速从4 m/s 到 14 m/s的环境噪声谱级。

图 1 (a)实验数据噪声功率谱时间频率二维分布,(b)实验期间风速(实线)和500Hz噪声功率谱(点线)
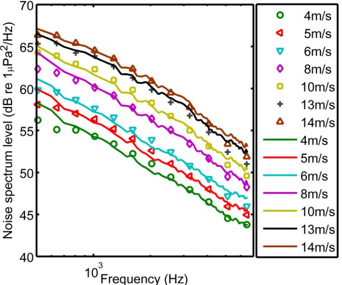
基于射线理论,可建立声场模型,最优的源级公式会使得在风占主导的频段,不同风速下的实验噪声谱级和模型预报值之间的差值最小,通过调整源级公式参数,达到最小化实验噪声谱级和模型输出结果差值,对风关噪声源级公式进行修正。模型预报不同风速下的噪声级与实验值一致(图2),说明本模型可以用来预报南海不同环境下的海洋环境噪声级。

图 2 模型预报噪声级(实线)和实验值(点)比较
关键词:风成噪声源级;建模;风关噪声
参考文献:
JIANG Dongge, LI Zhenglin, QIN Jixing, PENG Zhaohui, HAO Shao. Characterization and Modeling of Wind-Dominated Ambient Noise in South China Sea. Sci.China-Phys. Mech. Astron.60, 124321 (2017). DOI:10.1007/s11433-017-9088-5.
论文链接:
http://engine.scichina.com/publisher/scp/journal/SCPMA/60/12/10.1007/s11433-017-9088-5?slug=full%20text