声阻抗是物体结构的本征声学属性。不同于流体中的点阻抗和蜂窝结构中的局部阻抗,弹性结构的声阻抗具有非局域性质,严格上来是说具有全局性的。在弹性结构某一点施加声学载荷激励,可引起整个弹性结构的振动。实际中声学媒质和弹性结构存在耦合作用,尤其在水里这种耦合作用更加明显,相应地声阻抗表现出更强的非局域性质。
中科院噪声与振动重点实验室的金中坤等人基于声阻抗积分算子提出了全局声阻抗(global acoustic impedance)的定义,用于描述弹性结构表面声学激励和整个表面质点振动速度之间的关系,并对全局声阻抗矩阵的求解方法和有关特性进行了研究。
相关成果于2020年12月在线发表于国际声学期刊 Journal of Theoretical and Computational Acoustics。
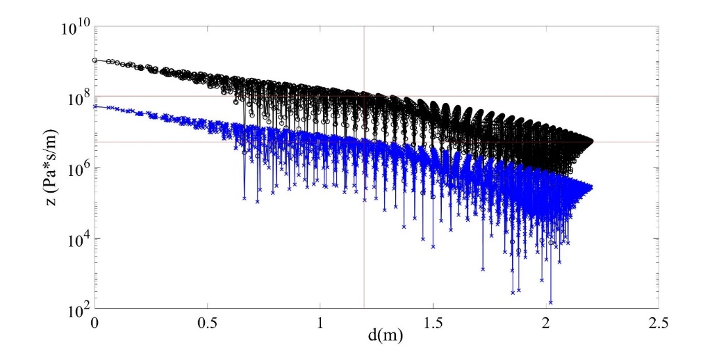
当将结构表面离散化,全局声阻抗表现为声阻抗矩阵的形式。研究人员基于结构动力学有限元、虚位移原理等方法,对表面声压和结构点力以及表面单元结点振速和单元中心配置点的振速进行互相转换,编程计算了弹性球壳的全局声阻抗矩阵(图1),并对其空间分布特征、随距离变化的特性(图2)以及随频率变化的规律进行了分析。
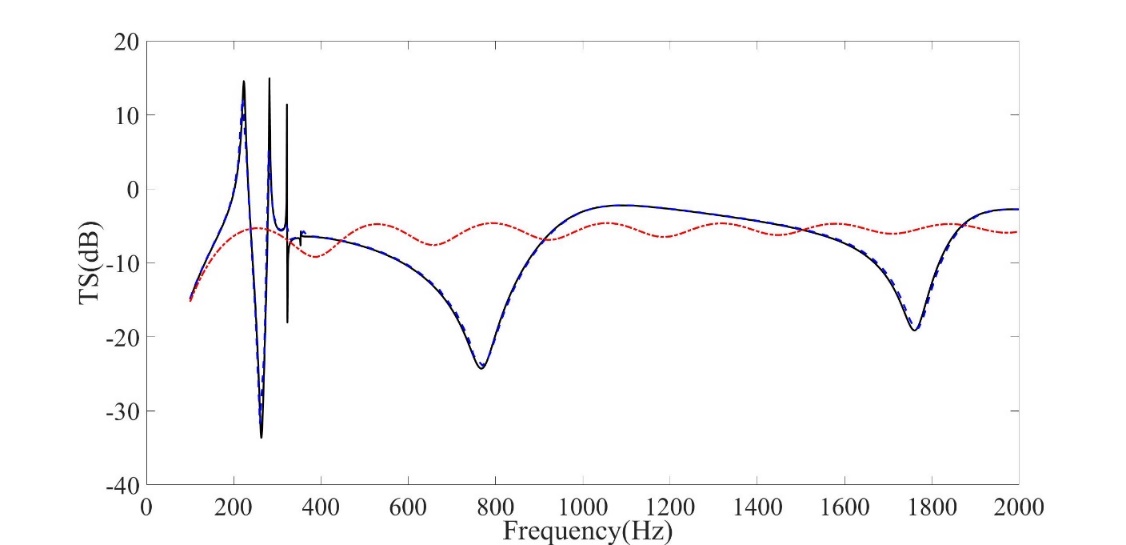
全局声阻抗可作为声散射计算的边界条件。研究表明,弹性球壳的全局声阻抗在空气中表现为“硬壁”的性质,在水中表现为“弹性”的性质(图3)。研究人员还对全局声阻抗和局域声阻抗对应的水下球壳目标强度(TS, Target Strength)进行了比较,并指出了它们之间的明显差异。全局声阻抗的提出可为水下结构声学性能研究提供一种新的数据形式,其不仅适用于弹性结构,还适用于粘弹性结构。

(a) (b)
图1 弹性球壳的全局声阻抗幅值矩阵:(a):100Hz;(b):2000Hz(图/中科院yx06永兴彩票集团)

图2 弹性球壳的全局声阻抗矩阵幅值随距离变化曲线:黑线是100Hz结果,蓝线是2000Hz结果(图/中科院yx06永兴彩票集团)

图3 平面波入射下水中弹性球壳的TS值:黑色实线为级数解;蓝色虚线为本文数值解;红色细点画线为硬壁球壳解(图/中科院yx06永兴彩票集团)
本研究得到了国家自然科学基金(No. 11904385, No. 11774378)的资助。
关键词:
全局声阻抗;弹性结构;有限元;声散射;边界元
参考文献:
JIN Zhongkun Jin, GAO Yan Gao, WU Xianjun, Wu YANG and Jun Yang. Global acoustic impedance for the analysis of acoustic scattering from elastic structures, Journal of Theoretical and Computational Acoustics. DOI: 10.1142/S2591728520500310.
论文链接:
https://www.worldscientific.com/doi/abs/10.1142/S2591728520500310

