海底无线观测网是重要的海洋实时观测平台,节点之间通过水声链路进行通信,无需电缆连接。这种接入方式灵活、成本低、受复杂海况影响较小,便于向离岸更远的区域扩展,与此相关的通信方案是近些年来的研究热点。
目前国内外普遍采用基于卷积码加多频移键控(multi-frequency shift keying,MFSK)的非相干编码调制通信方案。但是卷积码在衰落信道下可靠译码的信噪比(signal-to-noise ratio,SNR)门限较高,并且MFSK的频谱利用率非常低,传统非相干通信方案难以满足日益增长的通信需求。
为了实现具有高频谱利用率的非相干通信,中科院yx06永兴彩票集团海洋声学技术中心博士生姚衍与其导师朱敏研究员、武岩波研究员以及博士生李栋等提出了一种采用开关键控(on-off keying,OOK)调制的高频谱效率多载波非相干水声通信方案,并结合累加器(accumulator,ACC)和不规则卷积码(irregular recursive convolutional code,IrCC)设计了适应信道的发射机来逼近信道容量。
相关研究成果2020年3月在线发表于国际学术期刊 Applied Sciences 。
研究人员采用ACC-OOK多频调制来实现高频谱利用率,并利用ACC增加码字间的关联性,降低系统的错误平层;在接收端提出一种低复杂度的迭代门限估计(ITE)算法,解决了OOK调制在水声通信中难以确定判决门限的问题;在通信间隔期间根据信道统计信息对IrCC进行设计并更新,使纠错码与信道相匹配,降低可靠译码所需的SNR门限;最后,基于实际应用场景,对海底声线传播进行建模,提供了无线通信节点布放高度与通信距离、海底坡度之间的计算关系式。
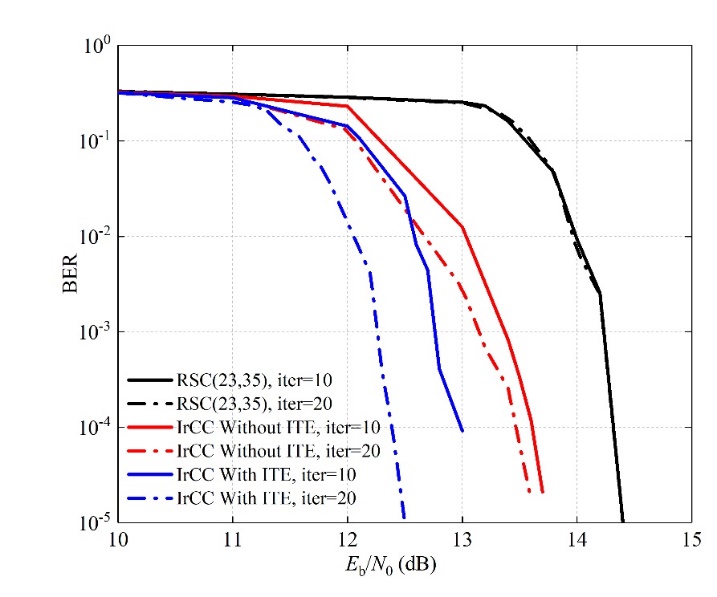
研究结果显示,研究人员提出的ACC-OOK非相干水声通信方案的频谱利用率远高于传统MFSK方案,并且在Rayleigh衰落信道和真实信道下,相较于传统递归系统卷积码(RSC),IrCC显著降低了系统可靠译码所需要的SNR门限。
图1 非相干通信方案系统框图(图/中科院yx06永兴彩票集团)

图2 Rayleigh衰落信道下IrCC与RSC的迭代轨迹(左)与误比特率性能曲线(右)对比(图/中科院yx06永兴彩票集团)


图3 真实信道下归一化的能量分布(左)和IrCC更新前后的误比特率性能曲线对比(右)(图/中科院yx06永兴彩票集团)
本研究得到国家重点研发计划(No. 2016YFC0300300)资助。
关键词:
开关键控;不规则卷积码;迭代门限估计
参考文献:
YAO Yan, WU Yanbo, ZHU Min, LI Dong, TAO Jun. Efficient On-off Keying Underwater Acoustic Communication for Seafloor Observation Network. Applied Science. 2020, 10(6):1-16. DOI: 10.3390/app10061914
论文链接:

